|
上一页 目录页 下一页
降龙十八掌详解
《周易》六十四卦第一卦,乾卦,这是全部《周易》系统的重中之重。只要多花些心思搞明白乾卦的内容,再多了解一下坤卦,整个六十四卦就可以举一反三、触类旁通。古代专家们常说乾、坤两卦是整个《周易》的门户,所以,我就重点来讲讲乾卦和坤卦。

图-21 乾卦
两个三爻卦构成一个六爻卦,两个八卦系统中的乾卦构成一个六十四卦系统中的乾卦。这是一个规矩:两个乾卦一摞,还叫乾卦;两个坤卦一摞,也还叫坤卦;其他八卦里的六个卦的变化也是同理。
《周易》乾、坤两卦之下的文字比其他各卦都多,也正说明了这两卦的重要。乾卦内容如下:
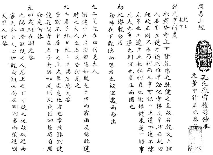
乾:元,亨,利,贞。
初九:潜龙,勿用。
九二:见龙在田,利见大人。
九三:君子终日乾乾,夕惕若。厉无咎。
九四:或跃在渊,无咎。
九五:飞龙在天,利见大人。
上九:亢龙,有悔。
用九:见群龙无首,吉。
《彖》曰:大哉乾元,万物资始,乃统天。云行雨施,品物流形。大明终始,六位时成。时乘六龙以御天。乾道变化,各正性命。保合大和,乃利贞。首出庶物,万国咸宁。
《象》曰:天行健,君子以自强不息。“潜龙勿用”,阳在下也。“见龙在田”,德施普也。“终日乾乾”,反复道也。“或跃在渊”,进无咎也。“飞龙在天”,大人造也。“亢龙有悔”,盈不可久也。“用九”,天德不可为首也。
《文言》曰:“元”者,善之长也;“亨”者,嘉之会也;“利”者,义之和也;“贞”者,事之干也。君子体仁,足以长人;嘉会,足以合礼;利物,足以和义;贞固,足以干事。君子行此四德者,故曰“乾:元、亨、利、贞。”
初九曰“潜龙勿用”,何谓也?子曰:“龙,德而隐者也。不易乎世,不成乎名,遯世无闷,不见是而无闷。乐则行之,忧则违之,确乎其不可拔,潜龙也。”
九二曰“见龙在田,利见大人”,何谓也?子曰:“龙,德而正中者也。庸言之信,庸行之谨,闲邪存其诚,善世而不伐,德博而化。《易》曰:‘见龙在田,利见大人’,君德也。”
九三曰“君子终日乾乾,夕惕若,厉无咎”,何谓也?子曰:“君子进德修业。忠信所以进德也。修辞立其诚,所以居业也。知至至之,可与言几也。知终终之,可与存义也。是故居上位而不骄,在下位而不忧,故乾乾因其时而惕,虽危无咎矣。”
九四曰“或跃在渊,无咎”,何谓也?子曰:“上下无常,非为邪也。进退无恒,非离群也。君子进德修业,欲及时也,故无咎。”
九五曰“飞龙在天,利见大人”,何谓也?子曰:“同声相应,同气相求。水流湿,火就燥,云从龙,风从虎,圣人作而万物睹。本乎天者亲上,本乎地者亲下,则各从其类也。”
上九曰“亢龙有悔”,何谓也?子曰:“贵而无位,高而无民,贤人在下位而无辅,是以动而有悔也。”
“潜龙勿用”,下也。“见龙在田”,时舍也。“终日乾乾”,行事也。“或跃在渊”,自试也。“飞龙在天”,上治也。“亢龙有悔”,穷之灾也。乾元“用九”,天下治也。
“潜龙勿用”,阳气潜藏。“见龙在田”,天下文明。“终日乾乾”,与时偕行。“或跃在渊”,乾道乃革。“飞龙在天”,乃位乎天德。“亢龙有悔”,与时偕极。乾元“用九”,乃见天则。
乾,“元”者,始而亨者也。“利贞”者,性情也。乾始能以美利利天下,不言所利,大矣哉!大哉乾乎!刚健中正,纯粹精也。六爻发挥,旁通情也。“时乘六龙”,以“御天”也。“云行雨施”,天下平也。君子以成德为行,日可见之行也。“潜”之为言也,隐而未见,行而未成,是以君子“弗用”也。
君子学以聚之,问以辨之,宽以居之,仁以行之。《易》曰:“见龙在田,利见大人”,君德也。
九三重刚而不中,上不在天,下不在田,故乾乾因其时而惕,虽危无咎矣。
九四重刚而不中,上不在天,下不在田,中不在人,故“或”之。“或”之者,疑之也,故“无咎”。
夫“大人”者,与天地合其德,与日月合其明,与四时合其序,与鬼神合其吉凶,先天而天弗违,后天而奉天时。天且弗违,而况于人乎?况于鬼神乎?
“亢”之为言也,知进而不知退,知存而不知亡,知得而不知丧。其唯圣人乎!知进退存亡而不失其正者,其唯圣人乎!
我们先要分清楚,从“乾:元,亨,利,贞”到“用九:见群龙无首,吉”,这是《易经》部分,后面的《彖》、《象》、《文言》那么长的大段落都属于《易传》。
《易经》这部分是不是觉得眼熟?什么“潜龙勿用”、“亢龙有悔”、“飞龙在天”,这不都是降龙十八掌的招数么?不错,降龙十八掌就是从这儿来的。
对于这部分内容,我先保持缄默,大家先看看一些历代专家的一些解释。我随机拿来几套古书,按朝代顺序展示一下,实在因为《周易》这东西两千多年来众说纷纭、莫衷一是,大家先对这点有个体会较好。
这乾卦还算是分歧小的,我就拿这些专家讲解乾卦的内容出来吧。主要讲讲乾卦的卦辞,乾卦的卦辞很简单,一共就只有四个字:“元,亨,利,贞”,可历代专家们围绕着这四个字的解释却汗牛充栋。


图-22《马王堆帛书周易经传释文》 廖名春释文 影印写本
这就是著名的《马王堆帛书周易》,是出土的古物,和通行本《周易》内容上有不少的出入,比如大名鼎鼎的乾卦和坤卦在这个本子里却写作“键”和“川”。评书里的英雄制止坏蛋恶行的时候常有一段套话:“光天化日,朗朗乾坤,你竟敢私闯民宅,调戏良家妇女,该当何罪!”如果按帛书版本把两个重要文字换一下,这句话改成:“光天化日,朗朗键川,你竟敢私闯民宅,调戏良家妇女,该当何罪!”——这是不是感觉怪怪的?英雄可能自己说着就没底气了,没准儿还能把坏蛋给逗乐了。
我们仔细看看这个《马王堆帛书周易》:凡是“乾”的地方都写作“键”,今本《周易》的“君子终日乾乾”到它那里居然成了“君子终日键键”,真让人想不明白。还有,坤卦如果是“川”,那象征的就应该是大河而不是大地了。这个怀疑不是没有道理,要知道,《易经》的卦爻辞里很多处都有“利涉大川”的话,意思是说算到这卦或这爻,表示你能顺利渡过大河。
如果当真如此,就又产生一个问题:《尚书?武成》虽然被认定为假冒伪劣,但毕竟在历史上也产生过不小的影响,里边出了个成语叫“名山大川”,现代人用这个成语都是泛指,可联系《尚书?武成》的上下文,再看看一些古人的注释,你会发现所谓“名山”很可能就是特指华山,所谓“大川”很可能就是特指黄河。那么,《易经》里的“大川”难道就不可能是实指吗?难道就不是《易经》的作者家乡附近的一条大河吗?也许就是黄河呢?也许就是长江呢?
这也很符合逻辑,因为,只有交通发达了,人的活动范围广了,见的山山水水多了,才有必要起名字区分这山和那山,这河和那河,可上古时代,恐怕很多人一辈子都一直面对着那山、那河、那人、那狗。
当然,我们尽可以大胆假设,但未必就有能力去小心求证,那就存疑好了。

图-23 《周易新讲义》 [宋]龚原撰 影印复旦大学图书馆藏日本文化五年活字印佚存丛书本-1

图-24 《周易新讲义》 [宋]龚原撰 影印复旦大学图书馆藏日本文化五年活字印佚存丛书本-2
这是宋朝龚原的《周易新讲义》,看看,“讲义”这个词可不是什么新词,至少在宋朝就有了。
龚原说:易的大道分为“形而上”和“形而下”两部分,“形而上”的是阴阳,“形而下”的是乾坤。如果单从形而上的角度来说,那么阴阳就是道的物质体现。(这句原文是“阴阳者道之物也”,这些虚头八脑的概念很难翻译。)所以说阴和阳一起使劲,这就形成了天。如果单从形而下的角度来说,那么乾坤就是阴阳的物质体现,所以说乾是阳物,坤是阴物。天地又是乾坤的物质体现,乾为天,坤为地。易之道在于阴阳,阴阳之道体现在乾坤之中,阴阳一起使劲于是有了刚柔之体和九六之数,爻分为奇数和偶数,爻的位置分为上下高低贵贱。乾是阳物,所以用奇数爻来表示;坤是阴物,所以用偶数爻来表示。三根爻构成一卦,这三爻代表了三才;两个三爻卦摞在一起就构成了一个六爻卦。
乾为天道,象征物是天,也象征着圣人的行事;坤为地道,象征物是地,也象征着贤者的行事。……
龚原的讲解是典型的“天人合一”风格,很有代表性。有人可能会想:宋朝人就已经知道人是大自然的一分子,人要和大自然和谐相处的道理了?其实不是,“天人合一”这个概念的环保意义是被现代人赋予的,这就是古人常用的一招,叫“托古改制”,其实古人哪有多高的环保意识啊!古人是发现了人和天似乎有种神秘的联系,不是吗,你看宇宙分为天和地,人也分为男和女,数字也分奇和偶……龚原在下文还讲:一年有春夏秋冬,人也有仁义礼智。这不是很奇妙吗?
“天人合一”观念最早的明确表述大概是董仲舒的《春秋繁露》:“天亦有喜怒之气,哀乐之心,与人相副。以类合之,天人一也。”简单来说,人就是宇宙的一个微缩模型,人和天可以互相感应,我们可以靠观察天来了解人。比如天上出现个臭氧空洞了,这就说明我们的皇帝太缺心眼了;首都刮起沙尘暴了,这就说明有人要谋反了;首都一带经常下毛毛雨,一阵一阵的,一两分钟就停,你要是有心计,就趁这时候赶紧向皇帝贡上些人参、鹿茸——为什么呢?理论依据是:毛毛雨表示老天爷尿频量少,肾亏,那么,既然“天人合一”,所以咱们万岁爷肯定也这样。
“天人合一”在古代还有其他意思,这里就不多讲了。咱们看看龚原是怎么解释乾卦的卦辞的。乾卦的卦辞很简单,一共只有四个字:“乾:元,亨,利,贞。”可这四个字到底是什么意思,还真不容易让人明白。
龚原说:乾是道,元亨利贞是德。
一个道,一个德,合在一起就是道德。但要注意哦,古代的道德和我们现在所谓的道德并不一样,以前道和德是单独的词:道是指真理、原理、宇宙最根本的真理;德是指属性,就是你在电脑上用鼠标点中一个文件,然后单击鼠标右键,在右键的弹出菜单里最下边的那个“属性(R)”。
龚原接着就要“天人合一”了。他说:元亨利贞在天上的体现就是春夏秋冬,在人事上的体现就是仁义礼智。
这书的下文缺了不少字,所以“亨,利,贞”就解释不清了,不过也没关系,咱们先记住一点:乾是道,元亨利贞是德,所以,元亨利贞也被叫做“四德”,这个说法是相当主流的。而这个“四德”之说,最早是《易传?文言》里说的,后边会讲到。


图-25《易经训解》 [宋]熊禾训解 影印复旦大学图书馆藏明崇祯十六年刻本
宋人熊禾解释“元亨利贞”,说元是指大,这好理解,我们说“元首”,直译过来就是“大脑袋”,国家元首就是一个国家的大脑袋,脑袋指挥身体,让抬胳膊就抬胳膊,让踢腿就踢腿。
亨的意思是通畅、通顺,中医说“痛则不通,通则不痛”,看来一个人的身体里血管呀、神经呀、消化道啊,这些都通畅了,身体感觉就是舒服的。另外,记得我刚学会吸烟的时候常买的一个牌子就叫“亨通”,把这两个字连起来用,一口烟吸进去,进口腔、走气管、进肺页和支气管,再从口腔或者鼻腔里喷出来,果然很亨通。
利的意思是适宜、适合。
贞的意思是坚贞、坚定。
熊禾认为,皇帝如果效法乾卦,就可以百事通、万事达,可以“大亨”——这个词本来不是大富豪的意思,而是说“大大的畅通无阻”。

图-26《周易通义》 [元]黄超然撰 影印上海图书馆藏明抄本
这是元朝人的解说了。
黄超然老师说:“乾就是健。”
健这个字我们可以照字面理解,健康,精力充沛,充满活力。黄老师说:“乾就是健,两个三爻的乾卦组成一个六爻的乾卦,这就是——”
应该很好猜吧?一个健已经很健了,再加一个健,这就是“健之至也”,健康到家了,比健康更健康,比精力充沛更精力充沛。
那“元亨利贞”又怎么解呢?黄老师说:这四个字是周文王用天道来阐明乾卦的深刻涵义的。黄超然对这四个字的具体解释和熊禾一样,最后还说,你要是算卦得出了这个乾卦,那就意味着你会事事顺遂,稳稳当当。

图-27《周易订疑》[元]董养性撰 影印南京图书馆藏清正谊堂刻本
元人董养性这书的说法渊源于程子之学,说我们抬头看见的天是天的形体,而乾是天的性情。天是精力非常充沛的,怎么都不会累,所以我们说它很“健”,这就是乾卦的特性。


图-28《周易》 [元]董中行撰 影印国家图书馆分馆藏清孔氏岳雪楼抄本
元人董中行说:乾卦的六爻都是奇数爻,都是阳爻,在所有的六十四卦里,只有这个乾卦纯粹都是阳爻,这就叫“阳之纯,健之至”,所以才叫乾。周文王认为国家领导人的才能和道德品质都是最拔尖的,所以政令才会畅行无阻,做事圆融无碍,这就是所谓“元亨”,而领导人只有一直端正思想态度,全心全意做好事,不要腐化堕落了,“元亨”才能保持下去。也就是说,领导人如果心术不“贞”,也就做事不“利”,也就达不到“元亨”之境。
换句话说,“元亨”是外,是说王道畅行四海;“利贞”是内,是说心里正直无私。
——这个解释很儒家吧?我们如果换用儒家术语来说,“元亨”就是“外王”,“利贞”就是“内圣”。这是儒家两千多年的一贯主张:领导人首先应该是道德品质完美无缺的圣人。这种传统让中国人普遍认为最高领导人除了是我们的伟大领袖之外,同时还是我们的伟大导师,我们在接受他的伟大领导的同时还要积极学习他的伟大思想。在我引的这几本古书里已经出现两次周文王了,这位周文王不但据说是《易经》的作者,而且还正是内圣外王的一位模范,是儒家知识分子最爱树的典型。这一点是和西方文化大相径庭的,我在《孟子他说》里介绍过布坎南的公共选择理论,人家首先就要把政府官员当作和普通老百姓一样的人,认为它们的道德品质并不比我们更高,也和我们一样满脑子小算盘和一肚子花花肠子,所以,要靠制度的完善设计来制约和规范政府官员的行为。
事实上,这种思想在西方出现得非常早,但中国从来不是。西方传统是“依法治国”,中国传统是“以德治国”和“以法治国”。
“依法治国”的意义在于,政府处于宪法之下,权力受到宪法的限制,而“以法治国”别看只差了一个字,意思却完全相反,它的涵义是政府位于宪法之上,法律只是统治者统治国民的工具,而不具备丝毫的对统治者本人的约束力。这也就是说,法律是随他玩的,统治者拥有对所有法律的最终解释权。——这很可怕是吧?有人可能会问:“这样的统治者又怎么能有正当性呢?”
答案是:这要结合“以德治国”来看,最高领导人就是道德品质最高的圣人,是全国人民的伟大导师,他的智慧与道德既然无人可及,那么,大家把自己的命运交托给他岂不是比自己掌握自己的命运更能迎来美好的明天么?

图-29《八卦余生》 [明]邓梦文撰 影印中国科学院图书馆藏清乾隆四十二年文会堂刻本
这是明朝人讲《周易》了。邓老师说:“六十四卦里的这个乾卦蕴涵着所有的天之大德。我心里觉得,元亨是阳德,利贞是阴德,乾卦里这不就阴阳全有了么,把坤卦的意思也包括进去了。别的卦的卦辞也有这个‘元亨利贞’,但我觉得那些个‘元亨利贞’和乾卦的‘元亨利贞’没法比,因为那些‘元亨利贞’都只不过是就一时一事而言,而乾卦的‘元亨利贞’却是至高无上、包罗一切的。”
我们注意一下邓老师这话里蕴涵的一条重要信息:“元亨利贞”不是乾卦的专利,其他卦的卦辞也有的,而且还不少呢。这点我们后文再论。

图-30《生生篇》 [明]苏浚撰 影印浙江省图书馆藏明万历二十五年刻本
苏老师说:“乾是天德,天就是一股气,这一股气生长万物、养育万物,所以分为四季,春生、夏长、秋收、冬藏。人也一样,天有春夏秋冬,人有仁义礼智。天以四德赋予人,人以四德效法天,天人合一之妙全在乾卦里体现着呢。”
苏老师这里明确提出了“天人合一”这四个字,看看,和环保没关系吧?

图-31《易筌》 [明]焦竑撰 影印中国科学院图书馆藏明万历四十年刻本
焦老师说:“乾卦蕴涵了‘元亨利贞’这四德,大概是因为这一卦全是阳爻,是纯阳之体,只有老天和圣人才配得上这一卦,所以,虽然别的卦里一般都会有些告诫之辞,比如让你留心小人陷害什么的,可这个乾卦却只说了‘元亨利贞’而没有任何告诫的话,这大概是因为这卦实在太牛了,算出这卦就会无往而不利,百无禁忌,所以没什么可告诫的吧。
“元的意思是至善;亨字通‘享’,是指大party上的好吃好喝;利的意思是顺利,好比镰刀割麦子,很顺手;贞就好比大树的树干,坚定挺拔。”
这里要注意的是,焦老师对“亨”的解释和别人不大一样。不过他这种解释其实也很主流。

图-32《新刻易测》 [明]曾朝节撰 影印南京图书馆藏明万历刻本
曾老师说:“阳气在一开始的时候,动静不大,慢慢的、很温和的样子,所以它的属性是‘元’,意思是‘刚开始’;之后,阳气促动生机盎然,蓬勃发展,所以叫‘亨’;之后,阳气略微收敛了,万物也都成熟了,人就又收粮食又摘果子的,大大获利,所以这就是‘利’;之后,阳气就不动了,这就是‘贞’;之后,阳气又蠢蠢欲动了,又开始‘元’了,然后又‘亨’了,又‘利’了,又‘贞’了,如此循环往复,永不停止。所以,‘元亨利贞’体现在季节上就是‘春夏秋冬’,体现在万物的孕育上就是‘生长收藏’。”
这也是一种有代表性的解释,“元亨利贞”又被赋予了新的意义。

图-33《周易禅解》 [明]释智旭撰 影印上海图书馆藏清初刻本及释通瑞刻本
冯友兰曾经对《周易》有过一个相当有趣的评价,大意是:“《周易》是个筐,啥都往你装。”现在看看,和尚也来讲《周易》了,书名叫得响亮,叫《周易禅解》,看来那么早的时候就有跨学科研究了。
古时候有一种三教合一的风潮,是说儒家、佛家、道家其实讲的都是一回事,学者也喜欢作个通家——我们来看宋人的半阕《行香子》:“野叟长年。一室萧然。都齐收、万轴牙签。只留三件,三教都全。时看《周易》,读《庄子》,诵《楞严》。”说老头最后就看三部书:《周易》,这是儒家经典;《庄子》,这是道家经典;《楞严经》,这是佛家经典,三教一网打尽。
所以,儒者谈佛、道士读孔孟、和尚解《周易》,这也没什么太稀奇的。
这位释智旭大师把佛门观念引入了《周易》,给我们提供了一种《周易》的新的读法,他倒是也说乾就是健,但他接着说:“健于上品十恶的人一定会下地狱。”
所谓“上品十恶”就是最坏的十种行为,那么,全句就可以解释为“孜孜不倦地去做最坏的十类坏事的家伙一定会下地狱”。他接着说:“孜孜不倦地去做中等坏的十类坏事的家伙一定会堕入畜牲界,孜孜不倦地去做不太坏的十类坏事的家伙会堕入鬼界,孜孜不倦地去做十类小小善事的人会进修罗界,孜孜不倦地去做十类中等善事的人会投生人界,孜孜不倦地去做十类上等善事的人会升到天界。”——你以为这就完了吧?不是,还有好多呢:“孜孜不倦地去做十类上等善事同时还修持禅定的人一定会转生于色无色界,孜孜不倦地去做十类上等善事同时还修持四谛十二因缘的人一定会获得二乘果证……”我就不再多讲了,反正举一反三即可,后边还一大堆佛门专业术语呢,对于“元亨利贞”也完全是佛教化的解释。
这么多的版本,好像谁说的都有道理哦。看来《周易》首当其冲的这个乾卦卦辞“乾:元,亨,利,贞”蕴涵着如此丰富的内容,包容宇宙,囊括万象啊!
这些专家们的讲解都很出色,但是,就这“元亨利贞”四个字,我们还是再回过头来,看看最早的解释版本——《易传》。
《彖》曰:大哉乾元,万物资始,乃统天。云行雨施,品物流形。大明终始,六位时成。时乘六龙以御天。乾道变化,各正性命。保合大和,乃利贞。首出庶物,万国咸宁。
先解释一下《彖》。不好意思,到现在才解释这个家伙。“彖”读“团”的四声,大意是“判断”,“从卦像判断吉凶”。《彖》是《易传》中的一传,本来是独立成章的,后来被汉朝人把它和《易经》的卦爻辞混排了。
再来解释几个词。
“品物流形”是说万物变化,生长成形,文天祥《正气歌》里有一句“杂然赋流形”就是出自这里。
“大明”是指太阳,现在有家大明眼镜店很有名,看,别以为这个名字俗,其实大有来头呢。
“时乘六龙以御天”,是说按时驾着由六条龙拉的车子在天空驰骋。——按照古代礼制规定,天子的座驾由六匹马拉,诸侯以下等而下之,拉车的马越来越少。所以“礼仪之邦”和讲文明、懂礼貌关系不大,而是很严格的官本位的社会,够什么级别才能坐什么车,不能乱了。这种六匹马拉的车考古发现还真出土过,看来文献记载不差。
“性命”,这么简单一个词其实也有些个讲头,有谁较过真没有,这个“性”字在这儿当什么讲啊?——答案是:这个“性”其实就是“生”,所以“性命”也就是“生命”。不少版本把“性”解释成性质、属性、特性,恐怕不确。
“大和”,这和日本没关系,“大和”就是“太和”,故宫的中心建筑太和殿,就是俗称的金銮宝殿,名字就是从这儿来的。“太和”到底是什么意思,有人说是阴阳调和,有人说是冲和之气,有人说是最最和谐的境界,还有人说……你自己挑吧。
“万国”,如果按现代标准,一万个国家那得什么规模啊!可上古时代不是这样,那时候一个所谓的“国”可能也就有现在一个村子大,小部落而已。
好了,整段翻译一下:
啊!乾元之气太酷了!它萌生了万物,主宰着宇宙。它行云降雨,生养无数。太阳东升西落,周而复始;于是确立了上下前后左右六个方位,按时驾着由六条龙拉的车子在天空驰骋。天道变化,给万物以生命,保持阴阳和谐,使万物走上正轨。元气稍稍一动,万物便蓬勃生长,万国人民都有好日子过。
这是已知最早的对“乾:元,亨,利,贞”的阐释。因为《易传》和《易经》都被混编在一起了,所以不少人总以为它们都是一个东西,我一再提醒大家,千万得把《易经》和《易传》分清楚。现在这个解释只不过是《易传》里边《彖》的观点,它虽然从时代上距离《易经》最近,可它当真就是对《易经》卦爻辞的一五一十的解说吗?不要轻信哦。
《彖》后边是《象》,内容是阐释爻辞的,先略过不表,直接看下边的《文言》。
《文言》是《易传》当中专门阐释乾、坤两卦的,文字很多,我们先只看它有关“元亨利贞”的部分:
“元”者,善之长也;“亨”者,嘉之会也;“利”者,义之和也;“贞”者,事之干也。君子体仁,足以长人;嘉会,足以合礼;利物,足以和义;贞固,足以干事。君子行此四德者,故曰“乾:元、亨、利、贞。”
这里就已经把“元亨利贞”称作“四德”了。咱们前边看过的历代专家对“四德”的阐述都是源自这一段的。翻译一下:
“元”,是善的首位;“亨”,是美的集合;“利”,是义的和谐;“贞”,是事的主干。君子履行仁德就足以作领导,集合美善就足以合乎礼,施利于万物就足以合乎义,坚守正道就足以治事。君子能够履行这四种美德,所以说:“乾:元,亨,利,贞”。
这一段主要在“‘亨’者,嘉之会也”一句上后来的专家们有些分歧,前边焦竑的《易筌》不就认为“亨”字其实就是“享”么,所以,“嘉之会”应该就指大party了。古人的大party是很正式的,前文讲过的竖牛陷害孟丙的故事里,不就是在一个大party上搞的么?在这种正式而隆重的场合,会摆满很多好吃好喝好东西,很可能所谓“嘉之会”说的就是这个呢。
“乾:元,亨,利,贞”,就这么几个字,我们从《易传》到历代专家的解说看了这么半天了,你是不是很想知道,到底哪个解释才是正解呢?
想一想啊,他们每个人都把“元亨利贞”解释得那么精彩,那么涵义深刻,那么饱含古老东方的神秘智慧,但惟一的遗憾是:这些解释全是错的。
是的,我郑重地告诉大家:以上这些解释全是错的。
近现代在安阳殷墟的考古发掘使我们获得了大量的商代占卜用过的乌龟壳,专家们从这里解读出了不少的甲骨文,对甲骨占卜的语言有了不少的了解。咱们从前边那几个案例也看出来了,《周易》算卦和甲骨占卜是很有渊源的,所以,近现代的甲骨文研究成果使我们对《周易》也多了几分了解。
几乎确凿无疑的解释是:“元亨利贞”的那个“贞”字其实就是“占卜”的“占”——单这一个字的新解就把从《易传》以来历代的“四德”说全给击破了。“元亨利贞”根本就没那么深刻的涵义,其实就相当于:“大吉大利,你求的这根签是根上上签!”这就是说,如果你算卦算出的结果是乾卦,那么这四个字的卦辞就会告诉你:“这是个好卦,大吉大利!”
你再读《周易》的时候就要注意了,我不是一再提醒要把书里的《易经》和《易传》分清楚吗,这个“贞”字在《易经》里全当“占”讲,而在《易传》里却当“坚定”讲。看看,《易传》的作者没弄清《易经》的字句,根据自己的理解,把一句“大吉大利”阐发成了无比深刻的哲学道理。
《易传》的作者真的误读了《易经》了吗?——这事还有后文,暂且按下不表。
“乾:元亨利贞”,这句是乾卦的卦辞,我们可算是看完了,下面再看看乾卦六爻的爻辞:
初九:潜龙,勿用。
“初九”,这是坐标。“初”,表示这根爻是初爻,也就是从下数起的第一爻;“九”表示这根爻的属性——阳爻。
如果你算了一卦,最后得出的是一个乾卦,在六根阳爻中只有初九爻是老阳,那你知道该怎么判断吉凶吗?
——前边从方法到案例已经讲过好多遍了,这时候就该以这根初九爻的爻辞,也就是这句“潜龙,勿用”来判断吉凶。
有人可能案例看得仔细,这时候就会产生一个疑问:“如果乾卦在六根阳爻中只有初九爻是老阳,那应该把这根阳爻变成阴爻,再和上边五根阳爻组成一个新卦,嗯,这个新卦是姤卦,所以,这次算卦结果应该就叫‘乾之姤’,然后用乾卦初九爻的爻辞来定吉凶,难道不是吗?”
——如果你真能问出这个问题,那我会相当欣慰的。不错,你说的一点儿都不错,前边的所有案例在算法上都是这么讲的。
但是,难道你一直就没有发觉有什么可疑之处吗?
疑点之一:
请再仔细看一遍这句话:“如果乾卦在六根阳爻中只有初九爻是老阳,那应该把这根阳爻变成阴爻,再和上边五根阳爻组成一个新卦,嗯,这个新卦是姤卦,所以,这次算卦结果应该就叫‘乾之姤’,然后用乾卦初九爻的爻辞来定吉凶。”
然后,请再仔细看一遍这句话:“如果乾卦在六根阳爻中只有初九爻是老阳,那就该以这根初九爻的爻辞来定吉凶。”
这两个方法,一个复杂,一个简单,可结果难道不是一样的吗?
疑点之二:
《周易》爻辞里不是都有什么“初九”、“九三”、“六二”的吗,可前文那几个《左传》案例里为什么完全不见这些名词呢?
——这和“疑点一”是有关联的:如果用“乾卦初九爻”就足以表达清楚,为什么要说什么“乾之姤”呢?这不是舍近求远吗?
疑点之三:
前文讲过朱熹和蔡元定归纳出来的占断的“七种情况”,讲到有一根变爻怎么办,有两根变爻怎么办,一直到六根爻全是变爻的时候怎么办,可是,从《左传》的这些案例来看,除了有一次是看卦辞定吉凶之外,为什么从来都是只有一个变爻的情况呢?
如果你早就产生了这种怀疑,那你可实在太聪明了。
先说“疑点一”和“疑点二”。通观《左传》所有算卦的记载,没有一处出现过“初九”、“九三”、“六二”之类的说法,而全是“某卦之某卦”,最典型的例子是,有一次晋国绛城的郊区出现了龙,魏献子就龙的问题请教蔡墨,蔡墨的解释当中引用了不少乾卦的爻辞:“《周易》有之,在乾之姤,曰:‘潜龙勿用。’其同人曰:‘见龙在田。’其大有曰:‘飞龙在天。’其夬曰:‘亢龙有悔。’其坤曰:‘见群龙无首,吉。’坤之剥曰:‘龙战于野。’若不朝夕见,谁能物之?”
这段记载我在《孟子他说》第三册详细介绍过,当时我讲的重点是龙,现在我讲的重点是卦。蔡墨这里可不是算卦,而是直接引用爻辞,向魏献子说明在以前的时代里龙是相当常见的,要不怎么《周易》乾卦的爻辞里全是用龙来打比方呢,还把龙的生活习性讲得这么活灵活现的?——在我们看来,蔡墨如果要举乾卦爻辞作例子,直接说“初九,潜龙勿用”,“九二,见龙在田”,这不就完了么,为什么还非要自找麻烦地去用那种“乾之姤”、“乾之同人”、“乾之大有”的说法呢?表达的意思不都是一样的么?
所以,最合乎逻辑的解释就是:“初九”、“九三”、“六二”之类的说法都是后来才有的,至少在春秋时代还没有,从这点推测,历代流传到今天的这部《周易》恐怕并不能反映《易经》的原貌。那么,《易经》的原貌到底是什么样子呢?这只有等待未来的考古新发现了。
再说“疑点三”。不错,我这里讲的《左传》案例虽然不多,可通观《左传》,情况全都如此,从没见有两个、三个、乃至更多变爻的例子。最合乎逻辑的解释是:春秋时代的算卦方法早已失传了,而所谓变卦呀,变爻呀,老少阴阳呀这些东西都是后人的推测,恐怕做不得准。后世出了很多算卦大师,各自研究出了很多算卦方法,但问题是,所有这些方法都是从《周易》那四十九根蓍草的玩法上发展出来的,具体说,源头都在《易传?系辞》,而《系辞》又不那么可靠,所以,后世所有那些被渲染地神乎其神的算命法门其实都是在沙滩上建城堡,用永动机作一套复杂机械装置的核心动力。
脑子里有了这根弦,我们再来捉摸乾卦的这些爻辞。
“初九:潜龙勿用。”你也可以在“潜龙”和“勿用”之间点个逗号。一般的解释是:这根爻位于全卦的最下边,好比龙处于潜伏状态,所以,这就是在建议你如果占到了这一爻,最好在近期不要轻举妄动。
比如你刚从黄世仁那儿借了一笔高利贷,准备开家公司做做买卖,这么大的事自然要事先算上一卦,你就先支了十万块钱请我熊大师出马。我虽然是位世外高人,看不上钱财这种俗物,但可怜你一片诚心,就破例排个卦吧。四十九个围棋子排了一个多小时,最后得出的结论是:“该以乾卦初九爻的爻辞定吉凶。”我一查书,这句爻辞是“潜龙勿用”,我就会建议你:“最近不能开公司,这段时间一定要夹起尾巴做人。”
如果你听了我的,这段时间就会平安度过;可如果你不听我的,过不了多久你就得拿喜儿去抵债了。
——这里有一个小细节不知道有谁注意到没有,就是那句“我一查书……”
有人会问了:“你不是大师么,大师算卦怎么还得查书啊?”
这你就不知道了,大师算卦一样得查书的。六十四卦的卦爻辞都加起来足有好几百,如果你愿意背得滚瓜烂熟,那我会一挑大指,夸你有毅力,但这其实根本没有必要——你最好把《周易》当成一本大字典,不必把字典里的所有字都认识了,把所有解释条目都背下来,只要能知道查字典的方法,能读懂词条释文的意思,这就够了。
再看第二爻的爻辞:“九二:见龙在田,利见大人。”
先说说“田”。有人可能会想:这有什么好说的,不就是田地么!
——有可能是田地,但也有可能是猎场,别忘了古文有个词叫“田猎”,就是我们现在说的“打猎”,“田”不一定就是种地的那个田。还曾有人研究商代的生产方式,认为那时候基本都搞畜牧业,没什么农业,而那时候的“田”字全是在说猎场。
虽然这种说法现在看来不大靠得住了,但是,“田”的困惑却依然还在。从《易经》所有的卦爻辞里看,除了这句“见龙在田”不容易搞清楚之外,其他带“田”字的句子全是在说打猎的事,和种田一点儿关系都没有。
所以,如果我们非要把“见龙在田”的“田”解释成农田,虽然也不是不可以,但在上下文里确实是一个旁证都找不到的。
好在这点小疑惑并不影响大意,总之,龙是从初九爻的潜伏状态进步了一些,不再继续潜伏了,露出地面了。
再说说“见”。“见龙在田”不是说“看见田里有条龙”,这个“见”其实是“现”,是“出现”的意思。“利见大人”常有人解释成“会遇到贵人相助”,算命先生不是常说这句话么。其实这个“见”字也还是“现”,而“大人”也并不是你会遇到的哪位贵人,而是指你自己。
《周易》里边常说“君子”如何如何,“大人”如何如何,其实“君子”和“大人”基本上是一回事,都是指当时的贵族。《易传》往往把“君子”作为第三人称来作哲学阐释,而《易经》讲“君子”其实就是说“你”。比如说,你来请我给你算算事业卦,我算完之后,卦爻辞上的“君子”也好,“大人”也好,其实说的就是你。
你可能会问:“我是社会主义新中国的主人翁,不是封建社会的贵族,我怎么会是‘君子’呢?”
这话问得好。按照当时的标准,你并不是君子,而是小人。
别生气,“君子”和“小人”在最初并没有褒贬的色彩,而是分指两个不同的阶级。“君子”是住在城里的,是贵族阶级,他们一般都是国君的同姓,虽然他们也从高到低分为若干等级,但好歹都算贵族;而“小人”一般都是乡下人,面朝黄土背朝天,和国君不是同姓,是被征服、被奴役的劳动者。占卜和算卦早先都是贵族的事情,就算向草民放开,可草民们一来没文化,二来负担不起高昂的成本。再说了,算命这事是非常神圣的,关乎政治稳定。我们想想,如果有几个草民心怀不轨,请来一位算命大师问道:“我们想造反,麻烦您给算算这事能不能干!”大师鼓捣了一阵,最后神秘兮兮地说:“卦辞是:‘不畏牺牲多壮志,敢教日月换新天。’你们放手去干吧!”——呵呵,统治者哪能容许这种情况出现呢!
《周易》里边关于君子和小人的内容有不少,看得出他们之间的阶级界限非常分明。回到我们这句乾卦的九二爻辞,这里的“大人”就是指你——求卦者本人,因为你的身份在当时只可能是贵族。当然,《周易》里也有些卦爻辞的“君子”、“大人”是泛指,还有专门针对女人的卦辞,具体问题具体分析吧。
话说回来,“见龙在田,利见大人”,这个九二爻在位置上比初九爻高了一层,爻辞里的龙也相应地高了一层,本来是潜伏状态,现在露出地面了,这就意味着:君子的出头之日到了。但要注意,这还仅仅是刚冒出个小头而已,并没有多大的作为。
再看看第三爻的爻辞:“九三:君子终日乾乾,夕惕若。厉无咎。”
这句话历来对标点应该怎么点大有分歧。有人说应该点成:“君子终日乾乾,夕惕若。厉无咎。”有人说应该是:“君子终日乾乾,夕惕若厉,无咎。”也有人说是:“君子终日乾乾,夕惕若。厉,无咎。”
不管怎么点吧,大致意思是说:“君子整天都很努力上进,晚上非常谨慎小心。形势很紧张,但也没太大害处。”
这个九三爻比九二爻在位置上又高了一层,爻辞的内容好像紧承着九二爻似的,而九二爻的爻辞内容又紧承着初九爻。所以,如果说初九爻表现的是一个人正在大学念书,窝在校园里不能在社会上大展拳脚,那九二爻表现的就是这个家伙已经毕业了,开始去招聘会上投简历了,到了九三爻,这家伙进入了一家公司成为一名新丁,对公司环境还不熟悉,既摸不透老板的脾气,对手头的工作又毫无经验,同一个办公室的张三、李四可能还看他很不顺眼,于是,他小心翼翼地工作,夹紧了尾巴做人,每天第一个上班,最后一个下班,堪称任劳任怨的模范。如果能坚持下去,可能就会在不久之后在公司站稳脚跟,甚至得到提拔,如果稍有善失,可能就面临下岗再就业的问题了。
这句爻辞里有一个词值得讲讲:“惕若”。
“惕若”的意思就是“惕”,表示警惕,“若”是虚词,没有实际意义。这种加“若”字作为后缀的词在《周易》里还真不少,但在其他古代文献里却不多见。
这种构词法有个重要的实用功能,那就是:起名字。
话说张三丰带着少年张无忌去少林寺求医,归途中在一只民船上见到一个船家贫女,看上去十岁左右,破衣烂衫的,赤着脚。张三丰见她楚楚可怜,问道:“姑娘,你叫什么名字?”那女孩道:“我姓周,名叫周芷若。”张三丰心想:“船家女孩,起的名字倒好。”
——周芷若,这个名气确实好啊,可到底怎么好呢?好处之一就是:很古雅。以“若”字为后缀,这是《周易》的风格。
这就是高人起的名字,你看上去用字很简单,一个“若”罢了,其实却透着深厚的文化底蕴,不像现代不少父母给孩子起名字,不是算笔画,就是用模样漂亮的生僻字。
周芷若,这个美丽的名字使小说增色不少,如果将来和张无忌搞三角恋的大美女是叫周翠花,还很爱吃酸菜,这感觉可就古怪了。
在《周易》里和“若”的构词类似的还有个“如”,比如“屯如邅如,乘马班如”,这一样适合被用在起名字上,《仙剑》的女主角林月如,你觉得“月如”是很俗气的字眼吗?看看,其实它很古雅。
第四爻的爻辞:“九四:或跃在渊,无咎。”意思是:有机会在一片大水面里翻腾翻腾,不会有害。
对这句爻辞的解释也是众说纷纭,但无论如何,这是一支好签,到底如龙得水了,能跳跳脚、伸伸腰了。好比九三爻里的那个公司里的新丁,任劳任怨了那么长时间了,如今终于被主管派了个富有挑战性的差使,有机会展展拳脚了。爻辞的忠告是:放手去干吧,年轻人,不会对你有害处的!
第五爻的爻辞:“九五:飞龙在天,利见大人。”意思是:龙可算飞上天了,你露脸的时候来啦!
分析一下九五爻的特点:第五爻处在外卦的中间位置,还记得吧,这叫“得中”;第五爻是阳位,而乾卦九五爻恰恰就是阳爻,阳爻搁在阳位,还记得吧,这叫“得位”。所以,乾卦九五爻既得中又得位,处在乾卦最重要的位置,而乾卦又是所有六十四卦中最重要的一卦,于是乎,乾卦九五爻便堪称吉中之吉,贵中之贵,“九五之尊”这个说法就是从这儿来的。好比还是公司的那个年轻人,这时候一路摸爬滚打,坐到公司老总的位子上了,如果这是国企,那他还会一分钱不花就通过MBO把价值多少亿的国有资产一夜之间变成自己的私有财产了,真真正正地在这家公司里当家作主了。
有人可能会问:“从第一爻到第五爻,芝麻开花节节高,一步更比一步好,可第五爻上边还有个第六爻呢,第五爻都已经吉利到无以复加的地步了,第六爻还能怎么更好呢?”
是呀,第五爻已经perfect了,可perfect没有比较级和最高级,第六爻又该怎么办呢?
第六爻的爻辞是:“上九:亢龙,有悔。”
“悔”字有人解释为“悔恨”,也有人说其实是“晦”。但总体意思都差不多,正所谓物极必反,龙飞得太高了,就有危险了。好比那位公司的新东家,玩得太大了,按说把国家变成自家这手玩得够漂亮了,可他还不知足,又萌生了更大的野心,这可一不小心就得罪了一些谁都不敢得罪的人了,前途也就步步危机了。
——从第一爻到第六爻,仔细捉摸捉摸这几句爻辞,饱含着一些人生哲理。九四爻告诉我们该出手时就出手,上九爻又警告我们该收手时就收手。
乾卦和坤卦都有个特殊的地方,在第六爻之上还有一句爻辞,在乾卦叫做“用九”,在坤卦叫做“用六”。这在前文讲过一些,是那个“七种情况”中的第六种情况。如果乾卦的六根爻全都是老阳,也就是说,全都是变爻,这时候就要用“用九”的爻辞来定吉凶。
这句爻辞是:“用九:见群龙无首,吉。”这就是“群龙无首”这个成语的出处。
咱们如果平时看见“群龙无首”这个词,谁都知道它是什么意思,实在是个太普通的成语了,小学生写作文都会用。可是,“群龙无首”在《周易》里原本到底是什么意思,谁也说不清楚。
“用九:见群龙无首,吉。”——我们只是知道,出现了“群龙无首”这种景象或者局面,是“吉”。
不好理解是吧?好比一个国家里皇帝刚刚被暗杀了,全国上下陷入了群龙无首的混乱状态,这怎么说也不可能是“吉”吧?
但《周易》告诉你说:群龙无首就是吉。
那惟一合理的解释就是:“群龙无首”这个词原本不是我们现在使用的这个意思。
在这个问题上,历代专家们给了我们纷纷纭纭的解释。有人说“群龙无首”的意思是“神龙见首不见尾”,也有人说它的意思是“一大群龙,没有头领”——这又有两种解释,一是:可能龙的习性和狼一类的动物不一样,虽然群居,但没有领头的;二是:龙的习性也和狼一样,群居,有个领头的,但现在爻辞里的这群龙却没有领头的,很奇怪。
你如果愿意动脑子细抠,还能捉摸出一大堆引申解释,比如接着上一段里的“二”来说,正因为现在群龙没有领头的,所以该换届选举了,德才兼备的新的龙中领袖就要出现了,所以是“吉”;你还可以说:正因为现在群龙没有领头的,所以每条龙都有机会成为新的头领,这是一个攀登权力宝座的好机会,所以是“吉”。不知道你怎么样,反正如果让我坐在这儿想,我能捉摸出一百个理由,每个理由都能把这句爻辞给解释圆了。——你别以为这很可笑,其实你好好看看历代汗牛充栋的易学类著作,有不少都是我这种风格的。要知道,中国人一向都有“唯上不唯实”的传统,研究问题偏重感悟而缺乏实证精神。
有人可能会说:偏重感悟这正是东方文化优秀于西方文化之处。
嗯,这话很有道理,那么,就这句“群龙无首”的爻辞,我也来谈谈自己的感悟。
上一页 目录页 下一页
|